COVID-19 Hospitality Industry Updates
MY RANGGO Magazine has gathered together COVID-19 Hospitality Industry Updates and will continue to add to these as more updates become available.
UPDATED: 27th MARCH 2020
COVID-19 Hospitality Industry Updates – Advice for Hotels
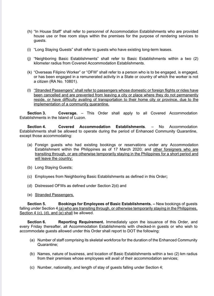
As of 27th March 2020 – Luzon 33 Hotels and accommodation establishments have been permitted, by the DOT, to remain open in Luzon. These will accommodate long-term guests, and Front Liners, employees of BPO companies, banks, open shops etc so that employees don’t have to travel so much.
Administrative Order: 2020-001 b was updated on 27th March 2020 to allow Hotels and accommodation establishments to accept existing foreign national guests from other hotels, new foreign guests in transit, and returning ‘Distressed OFW’ guests; OFW’s who are eligible for accommodation assistance from the Overseas Workers Welfare Administration (OWWA).
COVID-19 Hospitality Industry Updates – Advice for Hotels
The updated regulations also require hotels with Essential Employees to
- Only book them to single-occupancy rooms, in order to continue complying with the social distancing requirement.
- Only have in-house skeletal staff working.
- Santization Kit is to be provided in each room and main areas kept sanitized.
- Guests are to be contained to rooms when not working.
- Hotels should apply the Lowest Possible Room Rates.
Click on each image of the Administrative Order update below and select Open in New Tab to see the pages in full screen
Administrative Order 2020 001 – b Updated 26th March
COVID-19 Hospitality Industry Updates – Hotels in the rest of the Philippines:
- Hotels which still have guests, who checked in prior to 17 March may remain open.
- These Hotels are also permitted to accept bookings from new guests, whose previous hotels have closed or where they can no longer afford to stay at their previous hotel.
- These Hotels can also accept Foreign National guests who are in transit (trying to leave the country) and permitted business guests; bank employees, shop employees and BPO employees who are not able to travel to and from work, to their homes.
- Guests traveling together are permitted to stay in Double Occupancy rooms, as long as Social Distancing requirements can be applied; distance between beds is 2 meters with a divider between beds, bathroom schedule is applied, guests disinfect the bathroom after use, no sharing of food or personal belongings. Guests are to be contained to their rooms and are not allowed to switch rooms.
Establishments remaining open are to follow Limited Operations:-
- No Room Service
- No Daily Housekeeping – cleaning and sanitization of occupied rooms only as necessary and sensitization kits to be provided
- Skeletal workforce; only enough employees needed, to provide basic services to the guests
- In House Restaurants, Games Rooms, Bars, cafes etc are to remain closed unless there are no nearby restaurants from which guests can order food
Any open establishments are required to provide reports every Friday, to the Standard Monitoring and Enforcement Division of the DOT at smed@tourism.gov.ph.
The reports are to include
- The number of skeleton work force kept on
- The names of nearby establishments and businesses which have employees staying with them.
- The number and names of any nationalities that are booked in, and their length of stay.
COVID-19 Hospitality Industry Updates – Advice for Hotels with stranded Foreign Nationals
Hotels with stranded Foreign Nationals, who wish to return to their countries should
- Make sure the Foreign National is aware of any Enhanced Community Quarantine Measures. Particularly curfews, liquor bans, movement restrictions on people under 18 and over 60 (or 65 in some area) etc.
- Advise the Foreign National to register with the Department of Tourism Philippines. They should provide their name, nationality, passport number, contact number, current location and flight details. They can register with the DOT via the Message Option on the DOT facebook page, or via the local DOT Office either by telephone or Facebook page.
- Advise the Foreign National to contact their Embassy, whether by telephone or email, and provide the same information as above.
- Advise the Foreign National to follow the DOT Philippines Facebook Page, as well as their Embassies Facebook Page, for updates about ‘Sweeper Plane’ schedules. These are special planes put on to rescue stranded tourists and get them to Clark or NAIA Airports for Outbound Flights.
- Advise Foreign Nationals, with International flights from a nearby Airport, to follow the DOT and their Embassy on Facebook for updates on International Departures, and contact their airline if one is announced, to secure seats.
- Advise the Foreign National to remain packed and ready to depart, if they have already registered with the DOT. The DOT is organizing ‘Sweeper Planes’ to rescue foreign nationals who are stranded in destinations. Often the notification period is short and the flight can also be cancelled at any time.
- Advise guests not to rush to local airports hoping to get on a Sweeper Plane, unless they are already registered with the DOT or their Embassy and have been advised that they have been allocated a seat.
COVID-19 OTA (Online Travel Agency) Partner Messages
AGODA Property Management [Action Required]
Ensure that your YCS calendar is up to date and availability closure is in place if you opt to cease operation temporarily.
Make sure that availability close out is aligned across all other online suppliers (OTAs and B2Bs).
Communicate closure dates and any other concerns to your market manager.
Agoda Cancellation Process for Philippine Properties
We have been closely monitoring the Coronavirus (COVID-19) and its impact on our customers and partners. Due to the resulting official government directives and to safeguard customers and partners we have extended cancellation waivers to apply to all bookings for Philippine properties with check-in date between 18 March 2020 to 15 April 2020.
This event is “force majeure” and as such Agoda reserves the right to allow the customer to cancel without penalty, as stated in our Accommodation Property Participation Agreement (APPA). Cancellation requests received during the force majeure period will receive a refund of any pre-payment and any cancellation costs will be waived. However, note that we are currently not applying automatic proactive bulk cancellation.
We will continue to monitor the situation closely and update you as we know more. You can find the latest updates on this situation here.
Instructions to Guests
We have put up an advisory on our website and app to communicate cancellation updates to our mutual guests . Due to the much higher than usual volume, we are currently prioritizing support to those bookings that are within the next 2 weeks.
If a customer contacts your property directly requesting to cancel, please advise them to access “My Bookings” self-service option on the Agoda website or Agoda App. If their bookings are eligible for free cancellation they can proceed to cancel without contacting Agoda customer service. Otherwise, they can still contact Customer Support via the contact details on their booking voucher should they have further concerns. The response may take longer than usual but rest assured that these customers will be attended to.
Dear partner, The Expedia Group has expanded its Global Cancellation Waiver program. Properties may join the program and make reservations that meet the criteria below automatically refundable.
Program specifics:
- Bookings made prior to March 15th
- Stay dates between March 16th – April 30th
How it works:
- Join to simplify the cancellation process for bookings that meet the above criteria.
- Receive email notifications when a booking is canceled under this program.
- Agree to waive all fees associated with the canceled booking.
- No Expedia Group compensation will be incurred for bookings canceled under the program.
- Participate will not impact your quality score.
- Receive notice of any extension to the program booking and stay dates.
- Change your participation in the program at any time in Partner Central.
- Your participation in the Cancellation Waiver program will not impact Expedia Group’s flex cancellation policy, which covers cancellations and fee waivers due to extenuating circumstances. The flex cancellation policy will continue to apply and is subject to change as the situation evolves.
During this time when government travel restrictions are continually changing, offering flexible cancellation policies can help you build trust and engage travelers.
Many airlines and global chains are already offering refundable rates to encourage bookings; and we’re seeing a strong traveler preference for refundable rates across Expedia Group sites.
We will continue to provide updates, insights and expanded services like the Global Cancellation Waiver program to ease this difficult time. Thank you for your continued support.
Hotelbeds – On behalf of all my colleagues at Hotelbeds, I would like to offer your business our every support.
Rest assured that we are doing everything possible — including providing extra staff — to support the high number of requests for changes and cancellation of bookings.
Due to the closure of many of the borders of major source markets and destinations globally and the fact that currently there is no clarity as to what will happen next, suppliers in many of the biggest markets around the world at are record low levels of revenues and the situation can only worsen in the short term.
In the best interests of the whole industry and travellers themselves, we have therefore been left with no choice but to declare a global ‘force majeure’ for arrivals up until 31st March inclusive (subject to regular revision or extension, depending on how the situation evolves) from the date of submission of the present communication.
This policy will apply to all bookings with the exception – for the time being – of domestic North American and Latin American bookings (where both the source market of the traveler and the destination are the same for the booking).
Therefore we will allow any traveller who wishes to do so the option to cancel their reservation – without facing a cancellation charge – for both refundable and non-refundable bookings (including no-shows). This will not, however, affect bookings where the traveller has already arrived at the destination and hotels can expect payment for these bookings.
This is a situation that none of us could ever have imagined or prepared for and understandably we appreciate the significant impact these developments are having on your business.
Naturally we are monitoring the situation closely and have created a dedicated web page resource to provide you with further information as we are updating our policies regularly: https://corporate.hotelbeds.com/hotelbeds-update-covid-19
In the meantime, wherever possible we would like to ask you to hold back on contacting our call centres about bookings that are not for arrival in the next 72 hours. This allows us to prioritise our resources on the more important cases – something that is in everyone’s interest.
We value your partnership greatly and would like to thank you for your understanding and support.
If you have any questions relating to this, please do not hesitate to contact your Hotelbeds relationship manager.
See also our articles Covid-19 What You Need To Know! and COVID-19 Heroes









2 Comments